• Предмет: Математика
  • Автор: ulya20091011
  • Вопрос задан 3 года назад

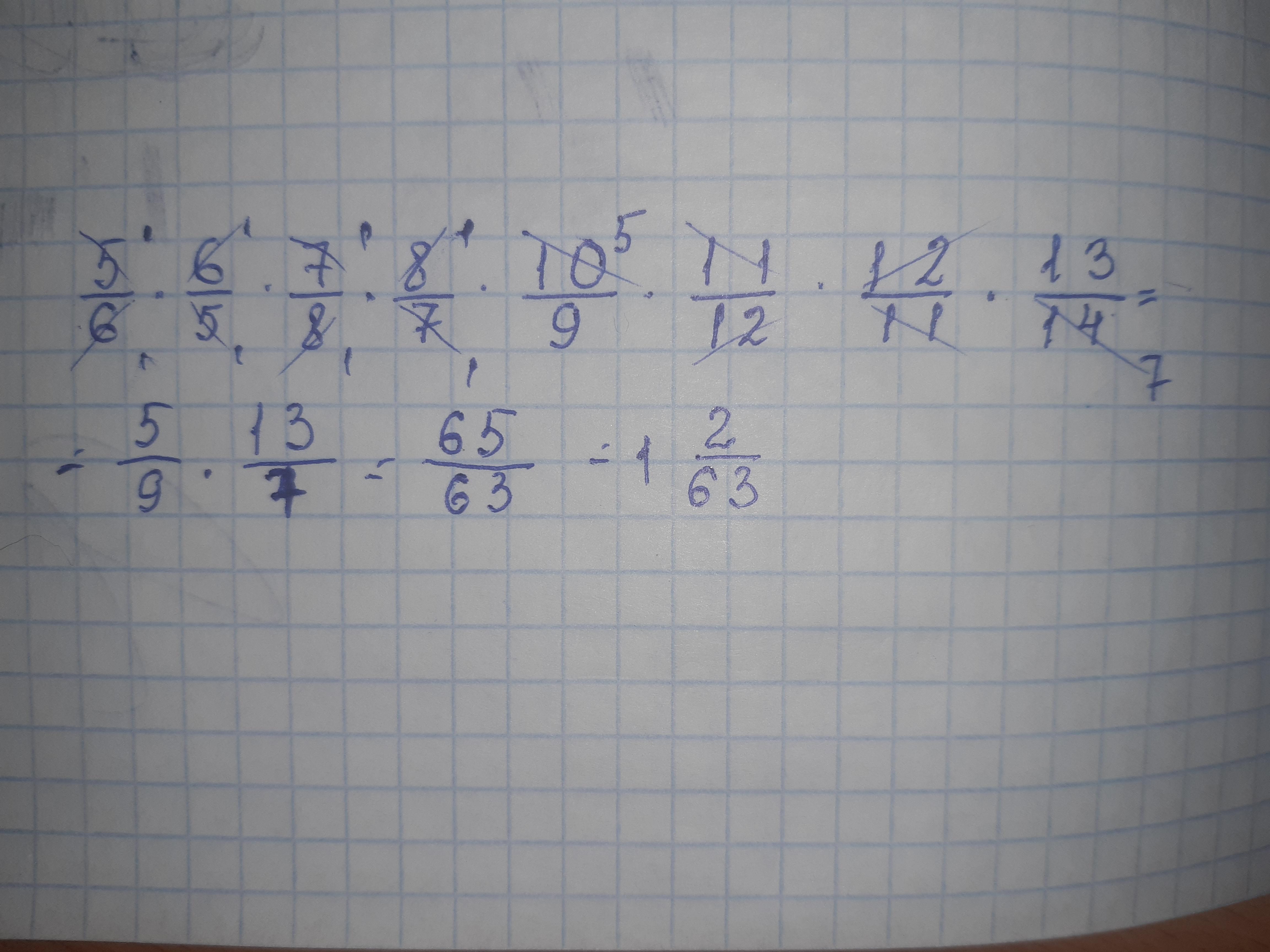
3. Упростите выражение 5/6•6/5•7/8•8/7•10/9•11/12•12/11•13/14​

Ответы

Ответ дал: Krisbliznuk2004
0
1*1*10/9*1*13/14=5/9*13/7=65/63=1 2/63
Ответ дал: foverlord510
2

Ответ:

1 целая 2/63

Пошаговое объяснение:

Приложения:

Аноним: это
Аноним: правельно
Аноним: хоть
Вас заинтересует