• Предмет: Математика
  • Автор: yachernikova08
  • Вопрос задан 3 года назад

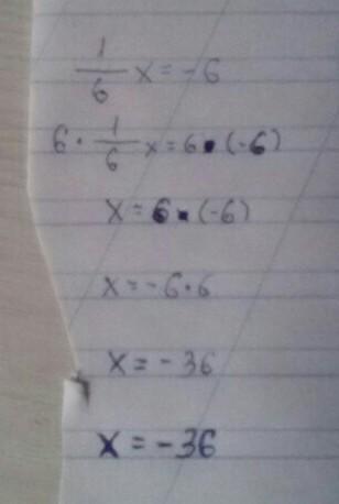
корень уравнения 1/6х = -6​

Ответы

Ответ дал: egsnsinemil
1

вот правильный ответ где синий ручкой затерто полностью это умножение

Приложения:
Вас заинтересует