• Предмет: Геометрия
  • Автор: vitalishakirov999
  • Вопрос задан 3 года назад

Помогите даю 30 баллов ​

Приложения:

Ответы

Ответ дал: shulginnikita1444
0

Ответ:

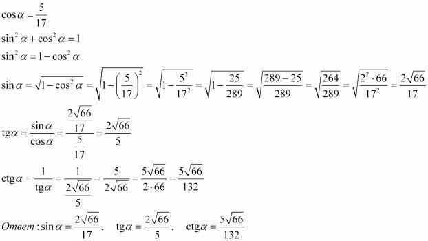
Смотри фото там все есть

Объяснение:

Приложения:
Вас заинтересует