• Предмет: Алгебра
  • Автор: kamilownbess
  • Вопрос задан 3 года назад

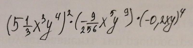
Привести к стандартному виду:

Приложения:

Ответы

Ответ дал: kisailana911
1

Ответ:

y=(5⅓-0,2xy)

(-9/256x⁵y⁹

Объяснение:

надеюсь что правильно•́ ‿ ,•̀

Вас заинтересует