1)Упростите выражения и определите коэффициенты выражений:
а) -6,4x·(-3); б) 0,5y·(-8).
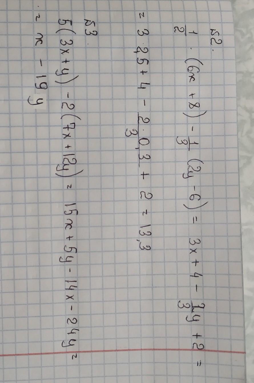
2)Упростите выражение ½ * (6х +8) – 1/3*(2у – 6) и найдите его значение
при x=2,5, y=0,3.
3)Раскройте скобки и приведите подобные слагаемые: 5(3x+y)-2(7x+12y).
aleksia64:
в первом задании между х(у) и числом это умножить ?
Ответы
Ответ дал:
1
Пошаговое объяснение:
думаю,что понятно написала.
Приложения:

Вас заинтересует
2 года назад
7 лет назад
7 лет назад
9 лет назад