1) Найдите семнадцатый член арифметической прогрессии, если а1 = 23, d= - 4
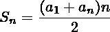
2) Найдите S13 арифметической прогрессии: 4; 7; 10 ...
3) Выясните, является ли число 621 членом арифметической прогрессии: 16; 21; 26; ...
4) Найдите девятый член геометрической прогрессии, если b1 = -64, q= 12
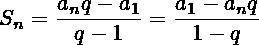
5) Найдите сумму первых семи членов геометрической прогрессии, если b1=6, q= - 2
6) Найдите сумму бесконечно убывающей геометрической прогрессии: 25; - 5; 1;…
Ответы
Ответ дал:
2
Ответ:
1)-41
2)286
3)а120=621
4)-27518828544
5)S7=258
6)S=20.83
Объяснение:
1)
a1=23
d=-4
a17=23+(-4)*16
a17=-41
2)
S13-?
d=3
а1=4
а13=4+3*12
а13=40
S13=((4+40)*13)/2=286
3)
а₁=16
а₂=21
Разность арифметической прогрессии d:
d=а₂-а₁=21-16=5
аn=а₁+d(n-1)=16+5(n-1)=16+5n-5=11+5n
621=11+5n
621-11=5n
n=120
а120=621
4)
b1=-64
q=12
b9-?
bn=b1*q^n-1
b9=-64*12^8
b9=-27518828544
5)
b1=6
q= - 2
b7=6*(-2)^6=384
S7=(384*(-2)-6)/(-2-1)
S7=258
6)
b1=25
q=-5/25=-0.2
S=25(1+0.2)=20.83
Приложения:




Вас заинтересует
2 года назад
2 года назад
9 лет назад