• Предмет: Математика
  • Автор: Аноним
  • Вопрос задан 3 года назад

пожалуйста срочно помогииитеее​

Приложения:

Ответы

Ответ дал: ytledy
1

Ответ:3)7+72627+920)6373+7372

Пошаговое объяснение:

Котек же

Ответ дал: esmeraldaadygezalova
1

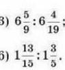
Ответ:

1.59/9:118/19=59/9*19/118=19/18=1 1/18

2.28/15*5/8=7/6=1 1/6

Пошаговое объяснение:

Вас заинтересует