• Предмет: Геометрия
  • Автор: 194718
  • Вопрос задан 3 года назад

Срочно ДАЮ 100БАЛОВ!!!

МНЕ ТОЛЬКО ПОД БУКВОЙ (Б) НАДО.


194718: tga×1/sin a
194718: Помагитеееее
194718: Пежжж

Ответы

Ответ дал: Аноним
1

Ответ:

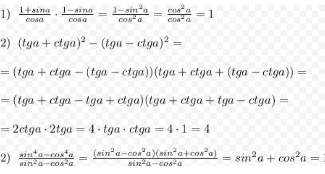
что под буквой б капец дай подумаю наверное в

Приложения:

Аноним: где картинка
194718: Б) tga×1/sin a
194718: Вот это
Аноним: ща
Аноним: постой
Аноним: я в тетради зделал
Аноним: только картинку как отправить
aotee: в ответ прикрепи
aotee: по другому никак
Аноним: ок все
Ответ дал: aotee
0

эм,а где само задание?Лол,хахахахха

Вас заинтересует