• Предмет: Математика
  • Автор: nastenkanastenka65
  • Вопрос задан 3 года назад

Помогите пж соч у меня ​

Приложения:

artembezenov49: окей решу

Ответы

Ответ дал: ajganymzeiskyzy79
1

Ответ:

y=75/17

помогла чем смогла


ajganymzeiskyzy79: можно лучший ответ? мне не хватает 2 для нового уровня
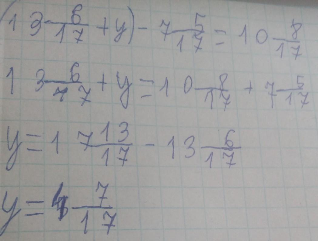
Ответ дал: artembezenov49
1

Ответ:

держи удачи тебе ответ фото там 4 7/17

Приложения:
Вас заинтересует