1 задание сравни дроби 2 задание найди взаимна обратные числа
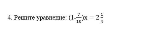
3 задание упрости выражение 4 задание реши уровнения 5 задание найди пелимитр треугольника
Приложения:





Ответы
Ответ дал:
1
ЗАДАНИЕ 1
1) 3/8 > 1/8
2) 14/20 = 7/10
3) 3 5/7 < 4 5/7
4) 3 > 7/10
ЗАДАНИЕ 2
5/6 = 6/5
8/9 = 1 7/8
1/8 = 8/1
Взаимно обратные числа – это два числа, произведение которых равно 1. Если числа a и b взаимно обратные, то можно сказать, что число a – это число, обратное числу b, а число b – это число, обратное числу a.
1) 3/8 > 1/8
2) 14/20 = 7/10
3) 3 5/7 < 4 5/7
4) 3 > 7/10
ЗАДАНИЕ 2
5/6 = 6/5
8/9 = 1 7/8
1/8 = 8/1
Взаимно обратные числа – это два числа, произведение которых равно 1. Если числа a и b взаимно обратные, то можно сказать, что число a – это число, обратное числу b, а число b – это число, обратное числу a.
alexhernyshkov09:
где остальные задания
Вас заинтересует
2 года назад
2 года назад
2 года назад
2 года назад
7 лет назад
7 лет назад
9 лет назад