• Предмет: Математика
  • Автор: name090120
  • Вопрос задан 3 года назад

Срочно, помогите!!!!!!

Приложения:

Ответы

Ответ дал: Miroslava227
0

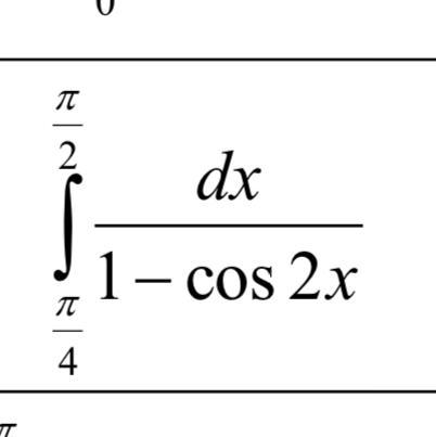
 \cos(2x)  =  { \cos }^{2} x -   { \sin }^{2} x = \\  =  1 - 2 { \sin }^{2}x

\int\limits \frac{dx}{1 -  \cos(2x) }  = \int\limits \frac{dx}{1 - (1 - 2 { \sin }^{2}x) }  =  \\ =  \int\limits \frac{dx}{2 {  \sin  }^{2} x}  =  -  \frac{1}{2} ctg(x) + c

подставляем пределы:

 -  \frac{1}{2} ctg( \frac{\pi}{2} ) +  \frac{1}{2} ctg( \frac{\pi}{4} ) =  \\  = 0 + 0.5 = 0.5

Вас заинтересует