• Предмет: Алгебра
  • Автор: swetlanaprya
  • Вопрос задан 3 года назад

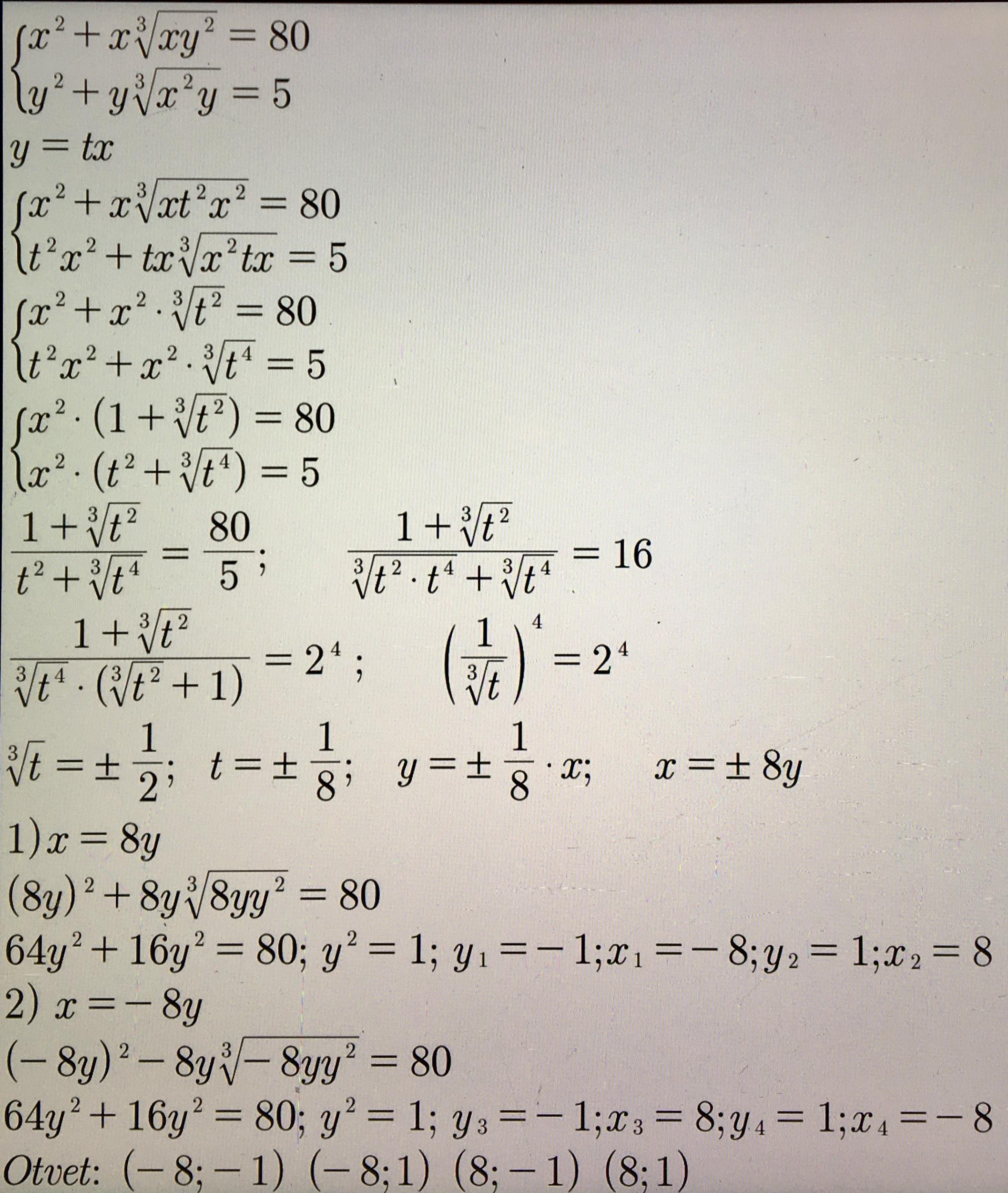
Помогите решить систему уравнений
Номер 713

Приложения:

Ответы

Ответ дал: tamarabernukho
1

Ответ:

Объяснение:

............................

Приложения:
Вас заинтересует