• Предмет: Математика
  • Автор: alexhernyshkov09
  • Вопрос задан 3 года назад

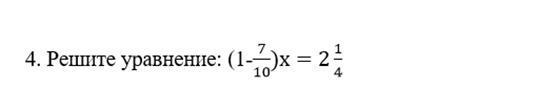
3 задание упрости выражение 4 задание реши уровнения 5 задание найди пелимитр треугольника

Приложения:

Ответы

Ответ дал: natalyvd
1

Ответ:

Пошаговое объяснение:

на фото

Приложения:
Вас заинтересует