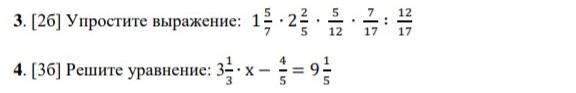
3. [2б] Упростите выражение: 1
5
7
∙ 2
2
5
∙
5
12
∙
7
17
∶
12
17
4. [3б] Решите уравнение: 31
3
∙ х −
4
5
= 9
1
5
Приложения:

Ответы
Ответ дал:
1
Ответ:
Пошаговое объяснение:
Приложения:

Вас заинтересует
2 года назад
2 года назад
2 года назад
7 лет назад
9 лет назад