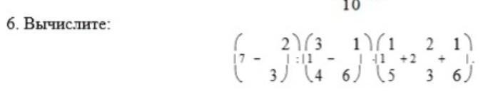
Помогите пожалуйста №6 Соч ПО матеше На Верный ответ Подпишусь
Приложения:

elbrusgasanaliev:
Оо у меня такой же СОЧ был щас помогу
Ответы
Ответ дал:
1
Ответ:
16 2/15
Пошаговое объяснение:
Думаю правильно
Вас заинтересует
2 года назад
2 года назад
2 года назад
7 лет назад
9 лет назад
9 лет назад