• Предмет: Математика
  • Автор: prohorovazlata530
  • Вопрос задан 3 года назад

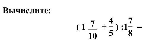
помогите пожалуйста срочно я щас умру ​

Приложения:

Ответы

Ответ дал: sultandariya50
0

Ответ:

1 1/8 понятно?

Пошаговое объяснение:

Потому что

Вас заинтересует