• Предмет: Математика
  • Автор: dianaura1712
  • Вопрос задан 3 года назад

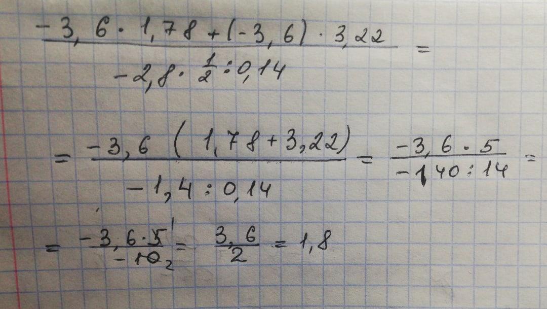
Найдите значение выражения: (Запиши решение, используя рациональное решение) *

Приложения:

Ответы

Ответ дал: Юленька194
0

Решение смотрите на фото

Приложения:
Вас заинтересует