• Предмет: Математика
  • Автор: DEMS213
  • Вопрос задан 3 года назад

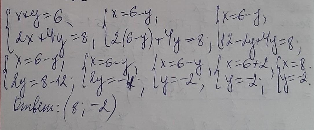
1) Решите систему
{ x+y=6
{2x+4y=8


Помогите пожалуйста даю
30

Ответы

Ответ дал: irina555556
0

Ответ:

на фото.................

Приложения:
Ответ дал: dyexfnf
0

Ответ: у= -2; х=8

Пошаговое объяснение:

{ x+y=6

{2x+4y=8

х= 6-у

Подставляем во второе уравнение

2(6-у)+4у=8

12-2у+4у=8

2у= -4

у= -2

х+(-2)= 6

х=8

Вас заинтересует