• Предмет: Алгебра
  • Автор: jonufer
  • Вопрос задан 3 года назад

Помагите пожалуйста срочно... ​

Приложения:

Ответы

Ответ дал: nuriee2007
0

Ответ:

Это правильные ответы

Ответ дал: isom
0

Ответ:

Объяснение:

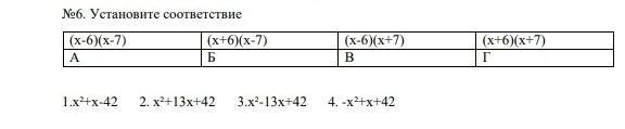
А - 3

Б - 4

В - 1

Г - 2

Вас заинтересует