• Предмет: Алгебра
  • Автор: gaerekaterina778
  • Вопрос задан 3 года назад

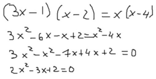
Приведите уравнение  (3х – 1) (х-2) =х(х-4) к  стандартному виду 

aх2 +bх+c=0. Запишите коэффициенты квадратного уравнения и определите вид  уравнения.       



СРОЧНО ПОМОГИТЕ, 50 БАЛЛОВ​

Ответы

Ответ дал: Ch1raqq
0

Слишком коротко. Напишите минимум 20 символов, чтобы объяснить все.

Приложения:

Ch1raqq: a=2
b=-3
c=2
Ответ дал: TheDeformaZz
1

Ответ:

(3х – 1)*(х-2) =х*(х-4)

перемножаем

3x^2 - 6x - 1x + 2 = x^2 - 4x

переносим всё в левую часть

3x^2 - 6x - 1x + 4x + 2 - x^2 = 0

считаем

2x^2 - 3x + 2 = 0

коэффициенты

a = 2

b = -3

c = 2

вид уравнения - квадратное.


gaerekaterina778: спасибо большое!
Вас заинтересует