• Предмет: Геометрия
  • Автор: Аноним
  • Вопрос задан 3 года назад

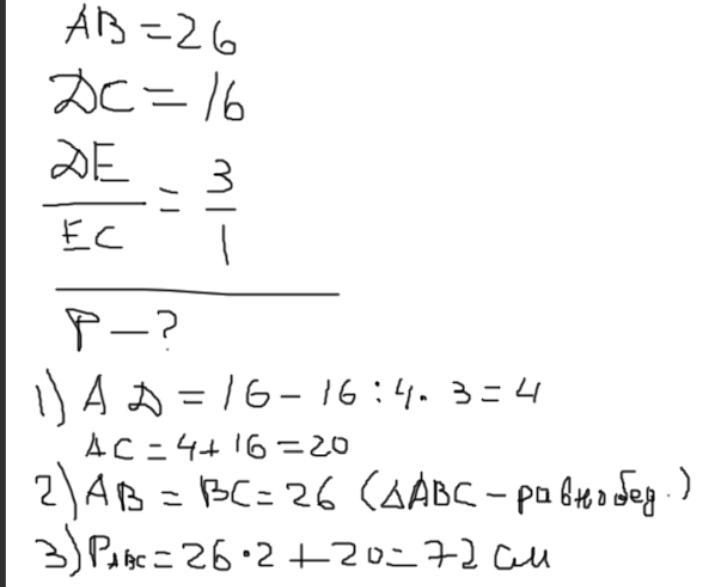
6. На рисунке AD=EC, <BDC <BEA.
а) Докажите, что Д ABD= A CBE
b) Докажите, что A ABC - равнобедренный.
c) AB=26 см, DC-16 см, DE: EC=3:1. Найдите периметр треугольника ABC.​

Приложения:

Ответы

Ответ дал: Ch1raqq
5

a) ABD = CBE

1) AD = EC

2) ∠ADB = ∠BEC

3) BD = BE (BDE - равнобед.)

b) ABC - равнобед.

∠A=∠C (соответственные с ∠BDE = ∠BEC )

c) AB=26  DC = 16 EC = 3:1  P - ?

Приложения:
Вас заинтересует