• Предмет: Математика
  • Автор: zhab1zhbiz
  • Вопрос задан 3 года назад

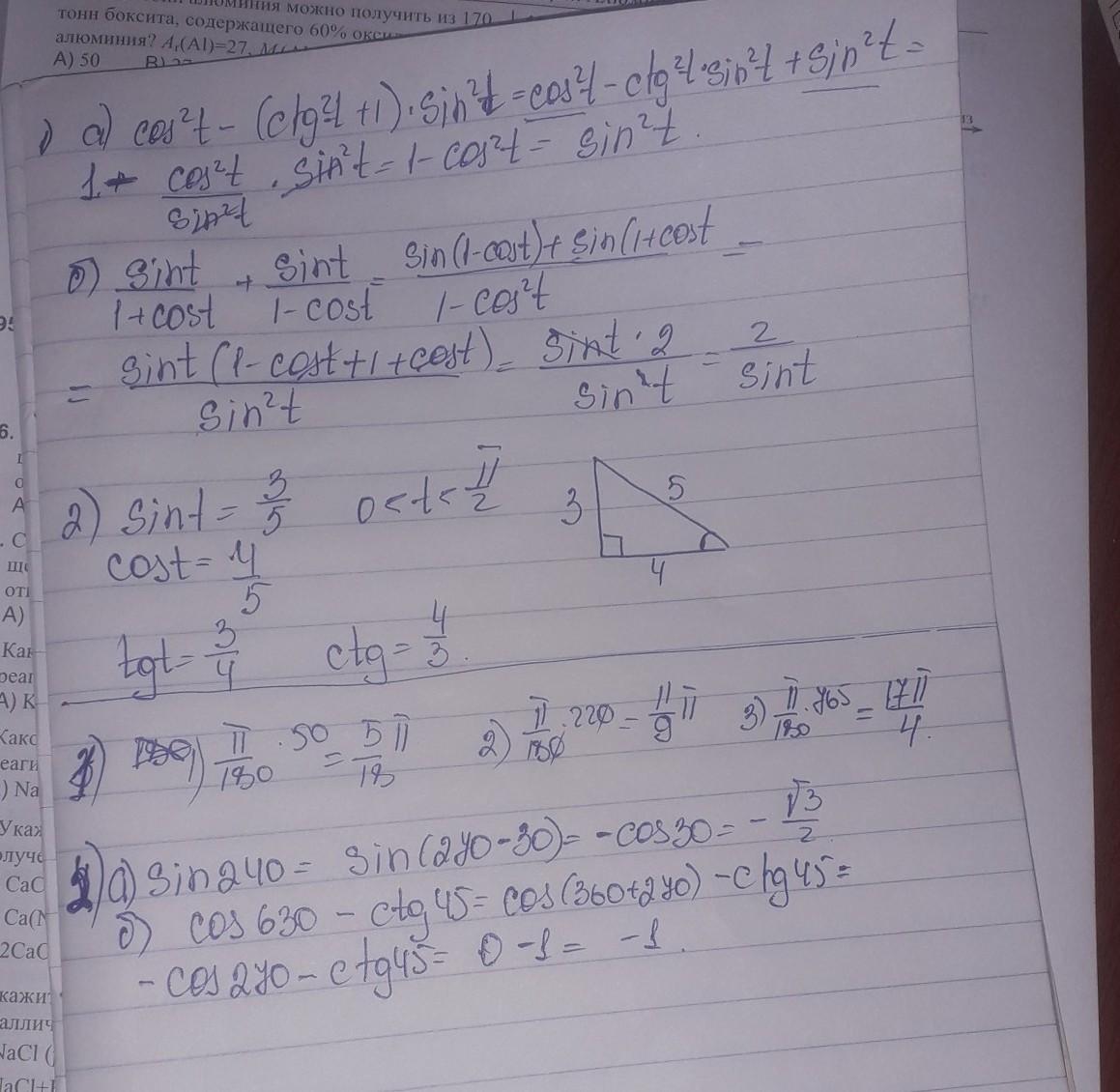
Всем мир! Выручайте! Нужно решить всё. С решением, хотя бы коротеньким. Отдаю все имеющиеся баллы (это важно, вроде?)) Задания не сложные.

Приложения:

Ответы

Ответ дал: СуперМауся
1

Пошаговое объяснение:

извини,последние две задания не получились((

Приложения:

zhab1zhbiz: Спасибо, Маруся! Ты реально - супер :D
zhab1zhbiz: Мауся* т9
zhab1zhbiz: Насчёт баллов - не до конца разобралась как пользоваться сервисом, сделала "безбальный" вопрос ): Если они для тебя важны, можем решить созданием нового
СуперМауся: ничего страшного)))
Вас заинтересует