Ответы
Ответ дал:
1
Ответ:
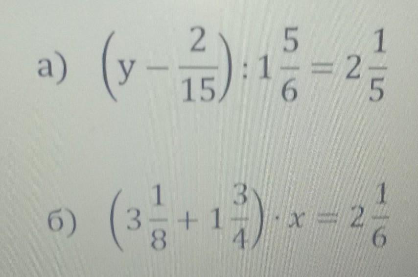
а)
б)
synarajtzanova90:
толык жаза аласын ба
Ответ дал:
1
Ответ:
ответ:а)у=25/6
б)х=4/9
Пошаговое объяснение:
пожалуйста нажмите слово,,лучший ответ, ,
Приложения:

Вас заинтересует
2 года назад
2 года назад
2 года назад
7 лет назад
7 лет назад
9 лет назад
9 лет назад