• Предмет: Математика
  • Автор: sofiaanapiaeva
  • Вопрос задан 3 года назад

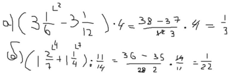
ПОЖАЛУЙСТА ОЧЕНЬ НАДО СОЧ 5. Вычисли и ответы запиши в порядке убывания. (5б)
а) (3 1/6-3 1/12)•4

б) (1 2/7+1 1/4): 11/14

Ответы

Ответ дал: Ch1raqq
1

Слишком коротко. Напишите минимум 20 символов, чтобы объяснить все.

Ответ не может быть пустым

Приложения:

sofiaanapiaeva: точно?
Ch1raqq: Если бы было не точно, я бы не стал выкладывать. Решение у Вас перед глазами. Делайте выводы.
Вас заинтересует