• Предмет: Математика
  • Автор: Аноним
  • Вопрос задан 3 года назад

МАТЕМАТИКА В ЖИЗНИ
6
Рассмотри схему. Ответы на вопросы.
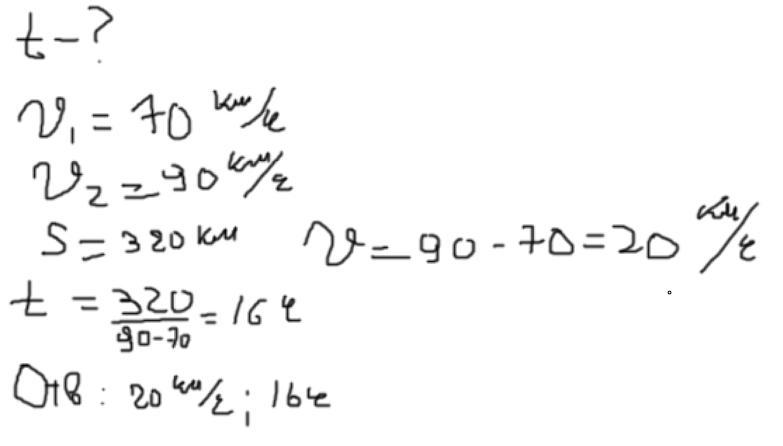
t= ? ч
и = 70 км/ч
V = 90 км/ч
S = 320 км
Какова скорость удаления автомобилей?
Через сколько часов расстояние между автомобилями будет
320 км?
Ну хорошо тогда даю столько балов пожалуйста отправьте по фотографии умоляю

Ответы

Ответ дал: Ch1raqq
18

Ответ:

20 км/ч и 16ч

Пошаговое объяснение:

Приложения:

Аноним: Спасибо
Smailshik: Спасибо надеюсь правильный ответ
Вас заинтересует