Ответы
Ответ дал:
0
Ответ:
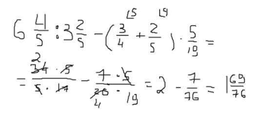
4/5:3 2/5-(3/4+2/5)•5/19
Пошаговое объяснение:
4/5:3 2/5-(3/4+2/5)•5/19=87/1292
ответ:87/1292
Ответ дал:
0
Слишком коротко. Напишите минимум 20 символов, чтобы объяснить все.
Ответ не может быть пустым
Приложения:

Вас заинтересует
2 года назад
2 года назад
2 года назад
2 года назад
7 лет назад