• Предмет: Алгебра
  • Автор: iskosodoroprp
  • Вопрос задан 3 года назад

ПЛИЗ СРОЧНО ПОМОГИТЕ ЗАРАНЕЕ СПАСИБО​

Приложения:

TheDeformaZz: какой номер?
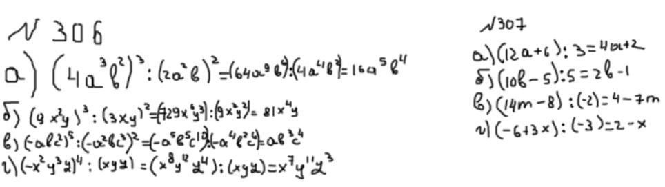
iskosodoroprp: 306 и 307
iskosodoroprp: поможете?
TheDeformaZz: вам же решили уже
iskosodoroprp: это точно правильно?
iskosodoroprp: 307 правильный,а вот 306

Ответы

Ответ дал: Ch1raqq
1

ююююююююююююююююююююююююююю

Приложения:

iskosodoroprp: спасибо
Вас заинтересует