• Предмет: Математика
  • Автор: 119ang
  • Вопрос задан 3 года назад

помогите решить, пожалуйста
даю 20б​

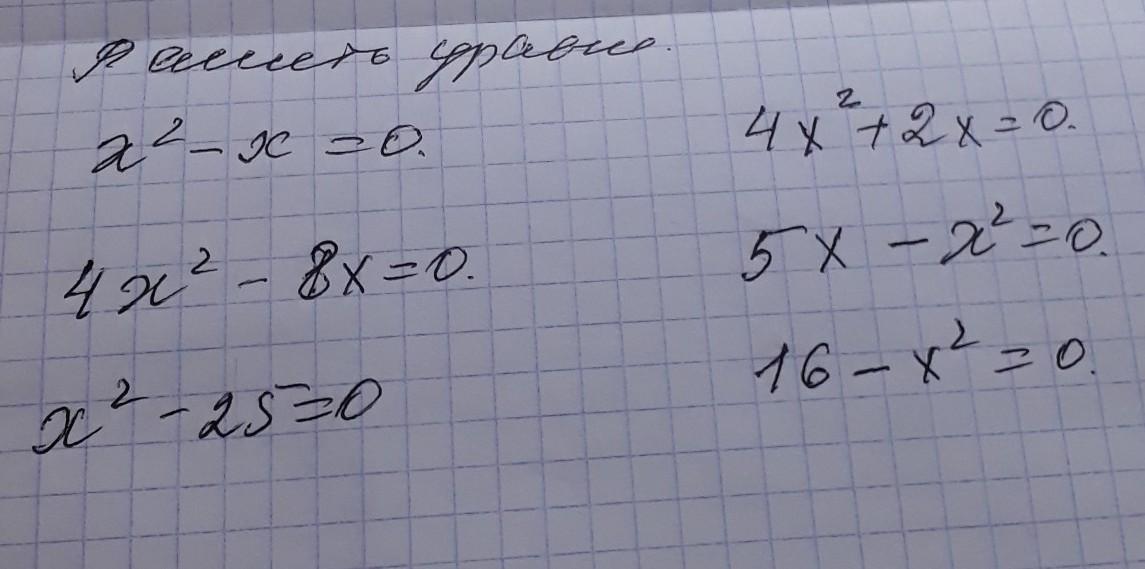
Приложения:

Ответы

Ответ дал: nuriee2007
2

Ответ:

 {x}^{2}  - x = 0 \\ x(x - 1) = 0 \\ x1 = 1 \\ x2 = 0

 {4x}^{2}  - 8x = 0 \\  {x}^{2}  - 2x = 0 \\ x(x - 2) = 0 \\ x1 = 2 \\ x2 = 0

 {x}^{2}  - 25 = 0 \\  {x}^{2}  -  {5}^{2}  = 0 \\ x1 =  5 \\ x2 =  - 5

 {4x}^{2}  - 2x = 0 \\  {2x}^{2}  - x = 0 \\ {x}^{2}  -  \frac{1}{2} x = 0 \\ x(x -  \frac{1}{2} ) = 0 \\ x1 = 0.5 \\ x2 = 0

5x -  {x}^{2}  = 0 \\ x(5 - x) = 0 \\ x1 = 5 \\ x2 = 0

16 -  {x}^{2}  = 0 \\  {4}^{2}  -  {x}^{2}  = 0 \\ x1 =  - 4 \\ x2 = 4


119ang: спасибо!!!
Вас заинтересует