• Предмет: Физика
  • Автор: danilaorlov2011
  • Вопрос задан 3 года назад

Какова средняя кинетическая энергия атома аргона, если темпиратура газа 17°C?

Ответы

Ответ дал: zbarskaya01k
1

Ответ:

!!!!!!!!!!!!!!!!!!!!!!!!!!!!!

Приложения:
Ответ дал: aminoo4kaa
0

Ответ:

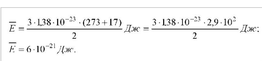
и.к Коган одноатомный газ, то средняя кинетическая энергия атома Ek=3KT/2 (k- постаянная Больцмана = 1,38/10* (-23) Дж/ K,T- абсолютная температура = 17+273=290К

ЕК- средняя Кин. энергия молекулы)подставим и вычислим ЕК= 3*10 (-23) Дж

ЕК=6:10^ (-21) Дж ( примерно)

Вас заинтересует