Ответы
Ответ дал:
2
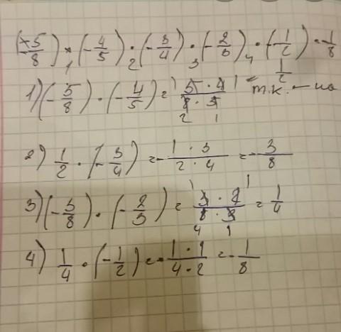
вот ответ ...........
Приложения:

Ответ дал:
1
Пошаговое объяснение:
Вас заинтересует
2 года назад
2 года назад
2 года назад
2 года назад
7 лет назад
7 лет назад
9 лет назад