• Предмет: Математика
  • Автор: Snuppy73
  • Вопрос задан 3 года назад

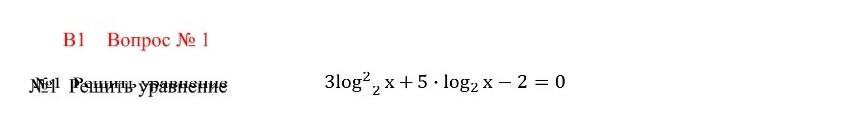
срочно помогите!!!!!!!!​

Приложения:

Ответы

Ответ дал: pushpull
1

Ответ:

Пошаговое объяснение:

введем переменную u = log₂x

тогда получим простое квадратное уравнение

3u +5u -2=0   ⇒  u₁=1/3;    u₂= -2

теперь решаем простые логарифмические уравнения

log₂x = 1/3  ⇒  х= ∛2

log₂x= -2   ⇒  х = 0,25

Вас заинтересует