• Предмет: Математика
  • Автор: anton2004323
  • Вопрос задан 3 года назад

Помогите пожалуйста с математикой. хелп ми)

Приложения:

minaraalieva2008: хз

Ответы

Ответ дал: Miroslava227
0

Ответ:

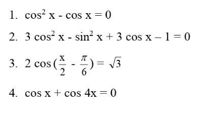
1.

  { \cos}^{2}(x) -  \cos(x)  = 0 \\  \cos(x)  \times ( \cos(x)  - 1) = 0 \\  \\  \cos(x)  = 0 \\ x1 =  \frac{\pi}{2}  + \pi \: n \\  \\  \cos(x)  - 1 = 0 \\  \cos(x)  = 1 \\ x2 = 2\pi \: n

n принадлежит Z.

2.

3 { \cos }^{2} (x) -  { \sin }^{2}(x)  + 3 \cos(x)  - 1 = 0 \\ 3 { \cos }^{2} (x) - 1 +  { \cos }^{2} (x) + 3 \cos(x)  - 1 = 0 \\ 4 { \cos}^{2} (x) + 3 \cos(x)  - 2 = 0

замена:

 \cos(x)  = t \\ 4 {t}^{2}  + 3t - 2 = 0 \\ d = 9 + 32 = 41 \\ t1 =  \frac{ - 3 +  \sqrt{41} }{8}  \\ t2 =  \frac{ - 3 -  \sqrt{41} }{8}  \\  \\  \cos(x)  =  \frac{ - 3 +  -  \sqrt{41} }{8}  \\ x =  +  - arccos( \frac{ - 3 +  -  \sqrt{41} }{8} ) + 2\pi \: n

n принадлежит Z.

3.

2 \cos( \frac{x}{2}  -  \frac{\pi}{6} )  =  \sqrt{3}  \\  \cos( \frac{x}{2} -  \frac{\pi}{6}  )  =  \frac{ \sqrt{3} }{2}  \\  \\  \frac{x}{2}  -  \frac{\pi}{6}  =  \frac{\pi}{6}  + 2\pi \: n \\  \frac{x}{2}  =  \frac{\pi}{3}  + 2\pi \: n \\ x1 =  \frac{2\pi}{ 3}  + 4\pi \: n \\  \\  \frac{x}{2}  -  \frac{\pi}{6}  =  -  \frac{\pi}{6}  + 2\pi \: n \\  \frac{x}{2}  = 2\pi \: n \\ x2 = 4\pi \: n

n принадлежит Z .

4.

 \cos(x)  +  \cos(4x)  = 0 \\ 2 \cos( \frac{x + 4x}{2} )  \cos( \frac{x - 4x}{2} )  = 0 \\ 2  \cos( \frac{5}{2}x )  \cos( -  \frac{3}{2} x)  = 0 \\  \\  \cos( \frac{5}{2} x)  = 0 \\  \frac{5x}{2}  =   \frac{\pi}{2}  + \pi \: n \\ x1 =  \frac{ \pi}{5}  +  \frac{2\pi \: n}{5}  \\  \\  \cos( \frac{3x}{2} )  = 0 \\  \frac{3x}{2}  =  \frac{\pi}{2} + 2 \pi \: n \\ x2 =  \frac{\pi}{3}  +  \frac{2\pi \: n}{3}

n принадлежит Z.

____________

1.

 \sin(3x + 60)  = 1 \\  \sin(3x +  \frac{\pi}{3} )  = 1 \\ 3x  +   \frac{\pi}{3}  =  \frac{\pi}{2} + 2 \pi \: n  \\ 3x =  \frac{\pi}{6}  + 2\pi \: n \\ x =  \frac{\pi}{18}  +  \frac{2\pi \: n}{3}

n принадлежит Z.

2.

 \sin(8x)  -   \sin(3x)  = 0 \\ 2 \sin( \frac{8x - 3x}{2} )  \cos( \frac{8x + 3x}{2} )  = 0 \\ 2 \sin( \frac{5x}{2} )  \cos( \frac{11x}{2} )  = 0 \\  \\  \sin( \frac{5x}{2} )  = 0 \\  \frac{5x}{2}  = \pi \: n \\ x1 =  \frac{2\pi \: n}{5}  \\  \\  \cos( \frac{11x}{2} )  = 0 \\  \frac{11x}{2}  =  \frac{\pi}{2}  + 2\pi \: n \\ x2 =  \frac{\pi}{11}  +  \frac{4\pi \: n}{11}

n принадлежит Z.

3.

 {  \cos }^{2} (x) - 10 \sin(x)  + 10 = 0 \\ 1 -  { \sin }^{2} (x) - 10 \sin(x) + 10 = 0 \\  { \sin }^{2}  (x) + 10 \sin(x)  - 11 = 0

замена:

 \sin(x)  = t \\  {t}^{2}  + 10t  - 11 = 0 \\ d = 100 + 44 = 144 \\ t1 =  \frac{ - 10 + 12}{2}  = 1 \\ t2 =  - 11 \\  \\  \sin(x)  = 1 \\ x =  \frac{\pi}{2}  + 2\pi \: n \\  \\  \sin(x)  =  - 11 \\

нет корней

4.

 \sin(2x)  \times  \cos(x)  +  \cos(2x)  \times   \sin(x)  = 1 \\

это формула суммы углов синуса.

 \sin(2x + x)  = 1 \\  \sin(3x)  = 1 \\ 3x =  \frac{\pi}{2}  + 2\pi \: n \\ x =  \frac{\pi}{6}  +  \frac{2\pi \: n}{3}

n принадлежит Z.

Ответ дал: rattezarazennyj
0

Ответ:n принадлежит Z.

Пошаговое объяснение:

Вас заинтересует