• Предмет: Алгебра
  • Автор: mukubaevarkkihggt
  • Вопрос задан 3 года назад

один вопрос из теста




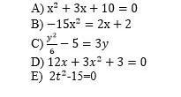
определите , какое из проведенных ниже уравнений является неполным квадратным уравнением ​

Приложения:

Ответы

Ответ дал: AndrewSwift
0

Ответ:

E, потому что в нём есть коэффициент, равный 0.


mukubaevarkkihggt: это Точно?
mukubaevarkkihggt: кажись из инета
mukubaevarkkihggt: ааа скажите пожалуйста
mukubaevarkkihggt: мне одного балла не хватает здесь не должно быть даже единой ошибки
AndrewSwift: Да, точно.
Ответ дал: alexokmail
0

Полное квадратное уравнение имеет вид:

ах² + bx + c = 0,

где: а, b, c отличны (не равны) нулю.

Если а = 0, то уравнение становится линейным (уравнение прямой)

Если b = 0 и/или с = 0, то квадратное уравнение называется неполным.

В нашем случае неполным уравнением будет:

вариант Е) 2t² - 15 = 0 [b=0]

Вас заинтересует