• Предмет: Математика
  • Автор: Cheschir
  • Вопрос задан 3 года назад

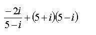
Решить пример с комплексными числами

Приложения:

Ответы

Ответ дал: kalinkink
0

Ответ:

339/13-5/13*i

Пошаговое объяснение:

-2i/5-i можно разделить на 1/13-5/13*i

Значит, 1/13-5/13*i+(5+i)(5-i)=1/13-5/13i+25-i^2=1/13-5/13i+26=339/13-5/13i

Вас заинтересует