• Предмет: Алгебра
  • Автор: Narmina56
  • Вопрос задан 3 года назад

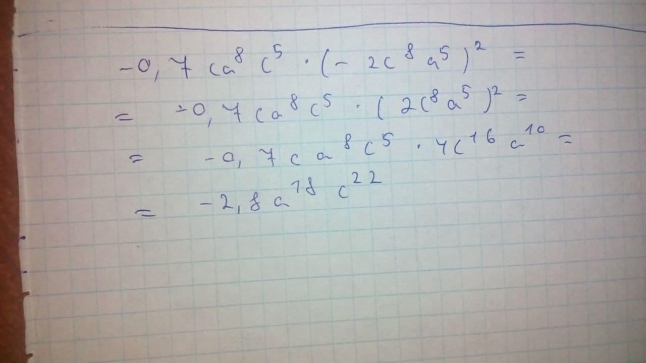
Помогите пожалуйста приведите одночлен к стандартному виду: -0,7c а8с5×(-2c8a5 )2=


sjdyfhrhve: Ты умеешь писать код С ++?

Ответы

Ответ дал: Miа16
0

Ответ: Фото.

Объяснение:

Приложения:
Вас заинтересует