• Предмет: Математика
  • Автор: DeadNorth
  • Вопрос задан 3 года назад

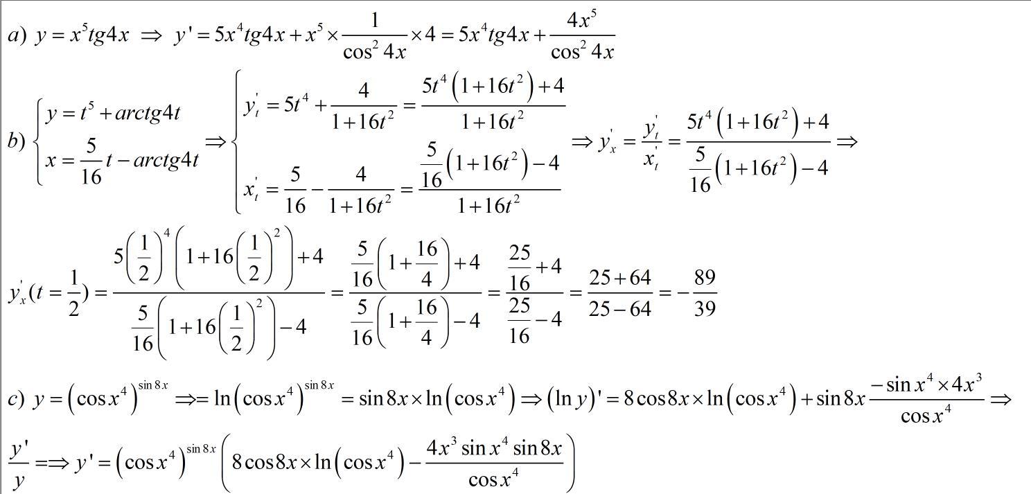
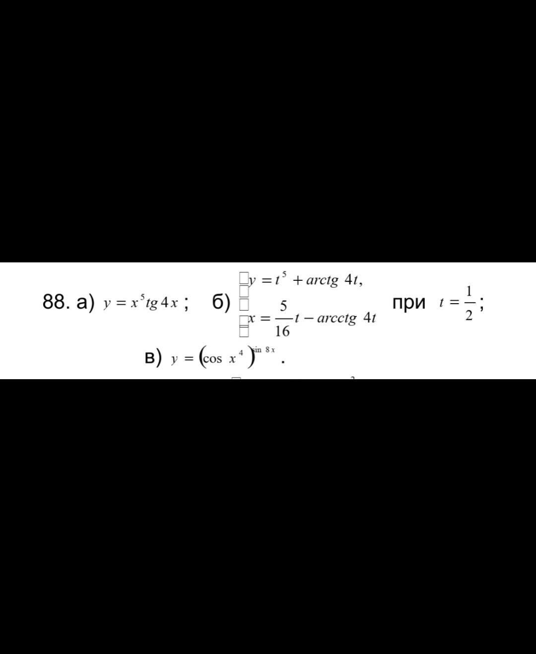
Найти производную, подробно, даю 100 баллов​

Приложения:

Ответы

Ответ дал: palilov243659
1

Ответ:

Пошаговое объяснение:

//////// //////////////////////////

Приложения:
Вас заинтересует