• Предмет: Алгебра
  • Автор: farukimambek
  • Вопрос задан 3 года назад

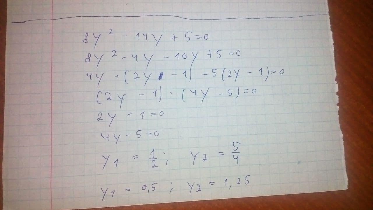
а) Найдите корни квадратного уравнения 8y² - 14y + 5 = 0 ПЖ ДАЙТЕ ТОЛЬКО ТОЧНЫЙ ОТВЕТ

Ответы

Ответ дал: Miа16
0

Ответ: Фото.

Объяснение:

Приложения:
Вас заинтересует