• Предмет: Математика
  • Автор: mlord0099
  • Вопрос задан 3 года назад

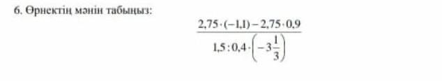
пж пж памагите пожалуйста ​

Приложения:

Ответы

Ответ дал: egrkstv
1

Ответ:

оивет

Пошаговое объяснение:

11/25 или же 0.44


mlord0099: спасибо
ildar50: 11/25=11*14/25*4=154/100 ()числитель и знаменатель умножаем на одно и то же число
egrkstv: та вообще понял что на что ты умножил?)
Вас заинтересует