• Предмет: Алгебра
  • Автор: nikitanamashko866
  • Вопрос задан 3 года назад

Помогите пожалуйста нужно выполнить действия

Приложения:

nikitanamashko866: Помогите пожалуйста очень нужно

Ответы

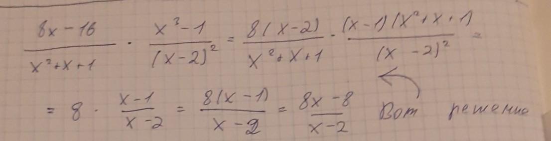
Ответ дал: lastway
1

Ответ:

Вот подробное решение.

Приложения:
Ответ дал: Universalka
1

\frac{8x-16}{x^{2}+x+1 }:\frac{x^{2}-4x+4 }{x^{3}-1}=\frac{8(x-2)*(x-1)(x^{2}+x+1)}{(x^{2}+x+1)*(x-2)^{2}}=\boxed{\frac{8(x-1)}{x-2}}

Вас заинтересует