Ответы
Ответ дал:
1
Ответ:
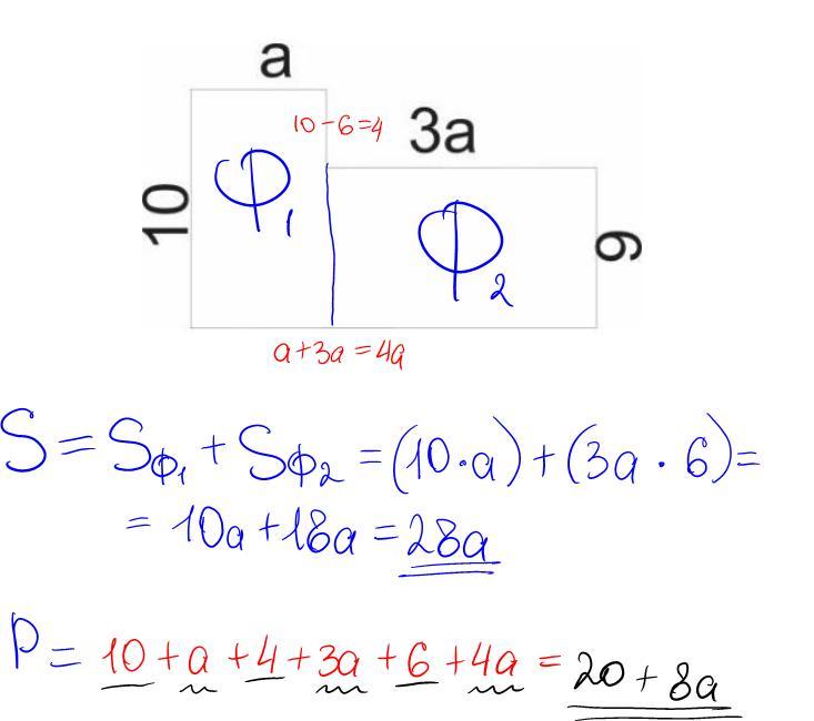
Представлен на картинке
Пошаговое объяснение:
Представлено на картинке
Приложения:

kirillshp2:
Спасибо
Вас заинтересует
2 года назад
2 года назад
2 года назад
2 года назад
7 лет назад
7 лет назад
9 лет назад