=
ONLINE
MCKTEP
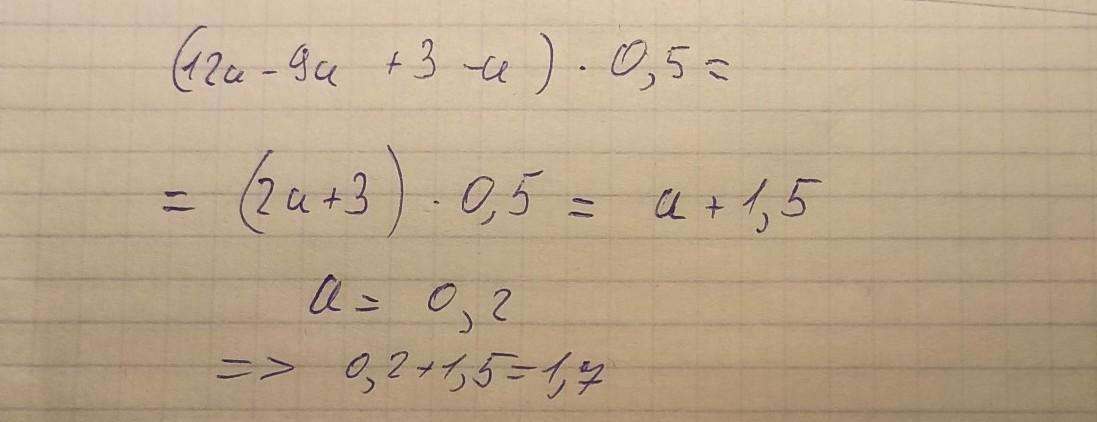
Упростите выражение и найдите его
значение при а — 0,2:
(12а – 9а + 3 - a) -0,5
Помоги главный мозг плиз
Приложения:

Ответы
Ответ дал:
1
Ответ:
на фото ......................
Приложения:

Аноним:
это правильно????
Ответ дал:
1
Ответ:
Пошаговое объяснение:
(12а – 9а + 3 - a) -0,5 =(2а+3)*0,5
при а=0,2 (2*0,2+3)*0,5=(0,4+3)*0,5=3,4*0,5=1,7
Вас заинтересует
2 года назад
2 года назад
2 года назад
7 лет назад
9 лет назад