• Предмет: Алгебра
  • Автор: 1az123456789az1
  • Вопрос задан 3 года назад

Помогите пожалуйста решить задания с объяснением, алгебра 9 кл

Приложения:

Ответы

Ответ дал: selbickk
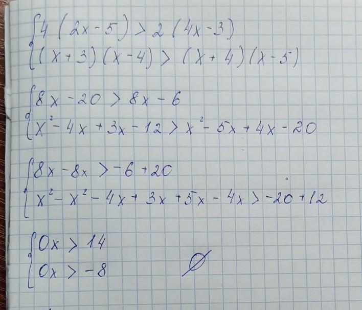
1

0*x>14

На место x можно поставить любое число, но в итоге выйдет 0.

---

0*x>14

Попробуем на место x поставить число

0*6>14

0>14. } нет решения. Тоже самое и с отрицательным числом

Приложения:
Вас заинтересует