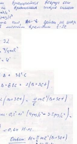
Диск массой m1 = 10 кг с лежащим на его краю шариком массой m2 = 1 кг вращается с частотой n1 = 10 об/мин относительно оси, проходящей через его центр. Шарик перекатывается в центр диска. Найти частоту n2.
Ответы
Ответ дал:
0
Объяснение:
Ну тип хз вроде это ♀️
Приложения:
Вас заинтересует
2 года назад
3 года назад
3 года назад
8 лет назад
8 лет назад
9 лет назад
9 лет назад