• Предмет: Математика
  • Автор: vzlomvlad27
  • Вопрос задан 3 года назад

Высшая математика. помогите пожалуйста 60баллов

Приложения:

Ответы

Ответ дал: Miroslava227
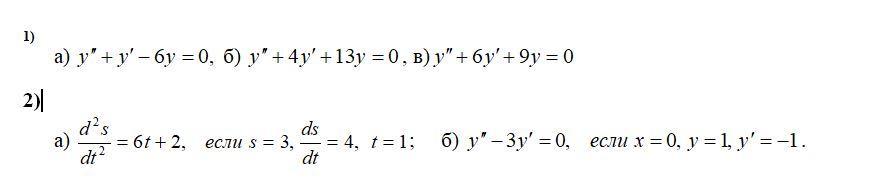
1

Ответ:

1. везде замена

y =  {e}^{kx}

a)

 y'' + y '- 6y = 0 \\ {k}^{2}  + k - 6 = 0 \\ d = 1  + 24 = 25 \\ k1 =  \frac{ - 1 + 5}{2}  = 2 \\ k2 =  - 3 \\ y = C1 {e}^{2x}  + C2 {e}^{ - 3x}

б)

 y'' + 4y' + 13y = 0\\ {k}^{2}  + 4k + 13 = 0 \\ d = 16 - 52 =  - 36 \\ k1 =  \frac{ - 4 +  \sqrt{ - 36} }{2} =  \frac{ - 4 + 6i}{2} =  - 2 + 3 i  \\ k2 =  - 2 - 3i \\ y =  {e}^{ - 2x} (C1 \sin(3x)  + C2 \cos(3x) )

в)

y'' + 6y' + 9y = 0 \\  {k}^{2}  + 6k + 9 = 0 \\  {(k + 3)}^{2}  = 0 \\ k1 = k2 =  - 3 \\ y = C1  {e}^{ - 3x} +  C2 {e}^{ - 3x} x

2.

а)

s''= 6t + 2 \\

s '= \int\limits(6t + 2)dt =  \frac{6 {t}^{2} }{2}  + 2t + C1 =  \\  = 3 {t}^{2}  + 2t + C1

s = \int\limits(3 {t}^{2}  + 2t + C1)dt =  \\  =  \frac{3 {t}^{3} }{3} +   \frac{ 2{t}^{2} }{2}    + C1t + C2 =  \\  =  {t}^{3}  +  {t}^{2}  + C1t + C2

общее решение

s(1) = 3,s'(1) = 4

система:

3 = 1 + 1 + C1 + C2 \\ 4 = 3 + 2 + C1 \\  \\ C1 =  - 1 \\ C2 = 1 - C1 = 2

s =  {t}^{3}   + {t}^{2}  - t + 2

частное решение.

б)

y'' - 3y' = 0

замена

y =  {e}^{ kx}

 {k}^{2} - 3 k = 0 \\ k1 = 0 \\ k2 = 3 \\ y = C1 + C2 {e}^{3x}

общее решение

y(0) = 1,y'(0) =  - 1

y' = 3c2 {e}^{3x}

система:

1 = C1 + C2 \\  - 1 = 3C2 \\  \\ C2 =  -  \frac{1}{3}  \\ C1 = 1 - C2 =  \frac{4}{3}

y =  \frac{4}{3}  -  \frac{1}{3}  {e}^{3x}  \\

частное решение

Вас заинтересует