• Предмет: Алгебра
  • Автор: genaganster
  • Вопрос задан 3 года назад

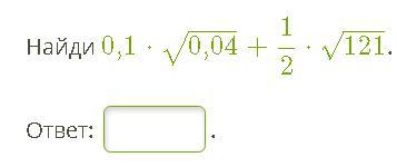
помогите алгебра........

Приложения:

Ответы

Ответ дал: svetlanaksv232
0

Ответ:

0,1×0,2+1/2×11=0,02+11/2=5,52

Вас заинтересует