• Предмет: Математика
  • Автор: ulpan000
  • Вопрос задан 3 года назад

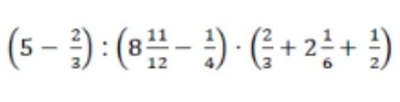
Вычислите.
СРОЧНО ПОЖАЛУЙСТА РЕШИТЕ ПОЖАЛУЙСТА​

Приложения:

Ответы

Ответ дал: ЖЖЖНННЯЯЯ
0

Ответ:

( \frac{5}{1} -  \frac{2}{3} ) \div ( \frac{107}{12}  -  \frac{1}{4} ) \times ( \frac{2}{3}  +  \frac{13}{6}  +   \frac{1}{2} ) \\  \\ 1. \:  \:  \frac{5 \times 3 - 2}{3}  =  \frac{13}{3}  \\  \\ 2. \:  \:  \frac{107 - 3}{12}  =  \frac{104}{12}  \\  \\ 3. \:  \:  \frac{2 \times 2 + 13 + 1 \times 3}{6}   =  \frac{20}{6}  \\  \\ 4. \:  \:  \frac{13}{3}  \div  \frac{104}{12}   =   \frac{13}{3}   \times  \frac{12}{104} = 0.5 =  \frac{1}{2}  \\  \\ 5. \:  \:  \frac{1}{2}  \times  \frac{20}{6}  =  \frac{20}{12}  =  \frac{10}{6}

Вас заинтересует