Ответы
Ответ дал:
1
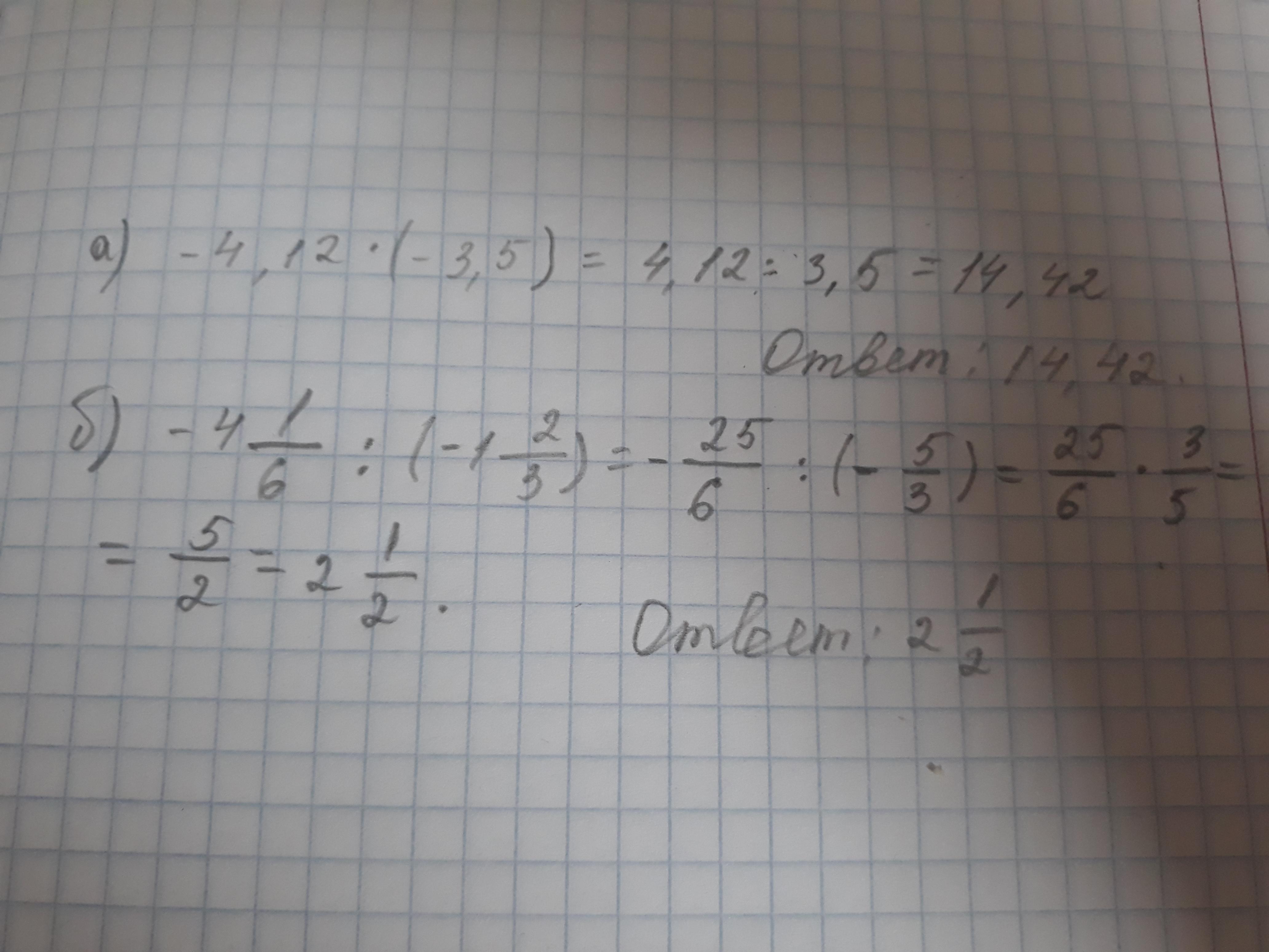
Ответ: а) 14,42 б) 2 1/2
Пошаговое объяснение:
Приложения:

Ответ дал:
1
Ответ:
А) - на - будет +, тогда 4,12*3,5=14,42
Б) - на минус будет +, тогда 4 1/6:1 2/3=25/6:5/3=25/6*3/5=75/30=5/2=2,5
Пошаговое объяснение:
Вас заинтересует
2 года назад
2 года назад
2 года назад
7 лет назад
7 лет назад
9 лет назад