Ответы
Ответ дал:
0
Ответ:
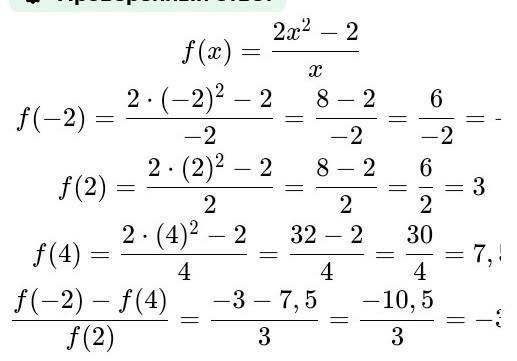
суретте жауабы тұр.
Объяснение:
Дұрыс болмаса кешірім сұраймын.
Приложения:

Вас заинтересует
2 года назад
2 года назад
2 года назад
2 года назад