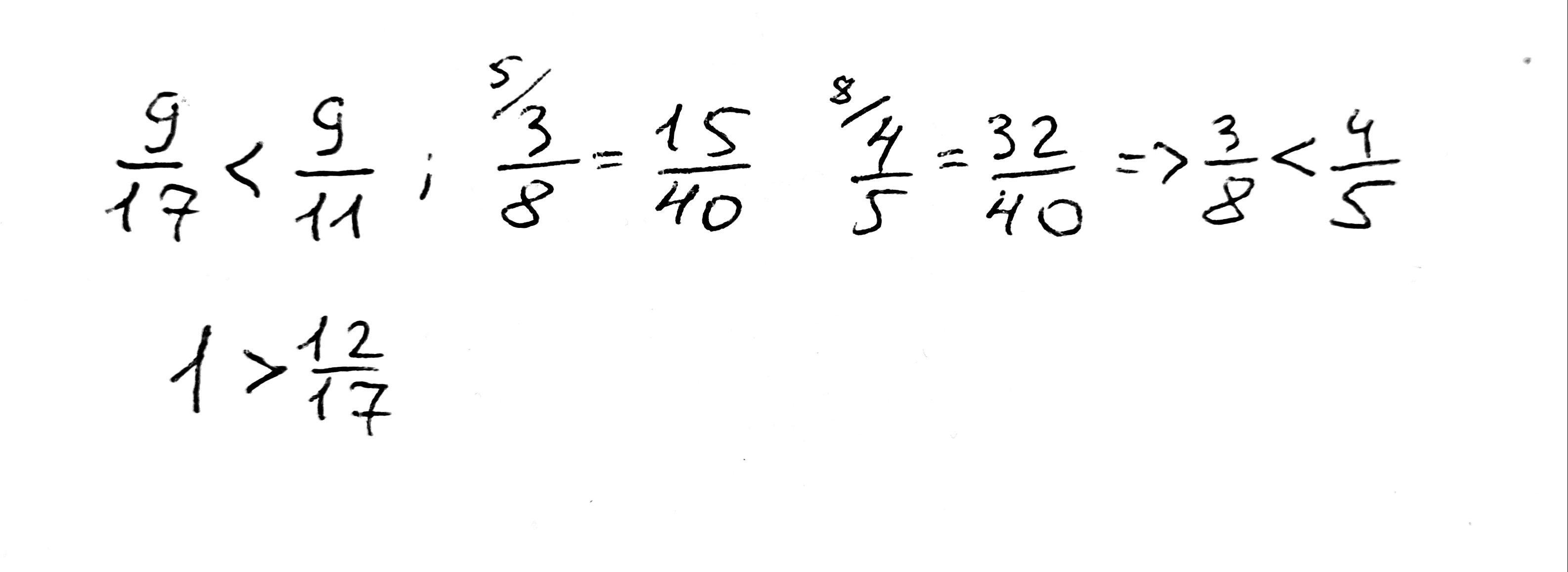
9/17 9/11 ,3/8 4/5 , 1/ 12/17 больше меньше помагите пожалуйста
Ифигения:
в последнем нужно 1 сравнить и 12/17?
Ответы
Ответ дал:
0
Ответ:
Пошаговое объяснение:
Во вложении.
Приложения:

Вас заинтересует
2 года назад
2 года назад
2 года назад
2 года назад
7 лет назад
9 лет назад
9 лет назад