• Предмет: Математика
  • Автор: levas70
  • Вопрос задан 3 года назад

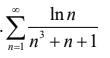
Исследовать на сходимость ряд

Приложения:

Ответы

Ответ дал: pushpull
0

Ответ:

Пошаговое объяснение:

исследуем предел общего члена ряда

сначала упростим предел

\lim_{n \to \infty} \frac{ln(n)}{n^3+n+1}  = \frac{ \lim_{n \to \infty}ln(n)}{ \lim_{n \to \infty}(n^3+n+1)}

\lim_{n \to \infty}ln(n)=n\\\\\lim_{n \to \infty} (n^3+n+1) = n^3

тогда наш предел превращается в

\lim_{n \to \infty} \frac{1}{n^2} - а этот рядсходится как обобщенный гармонический ряд с показателем степени  p= 2

ответ исходный ряд сходится

Вас заинтересует